Trigonometry Identities: I4 Cos 12 Cos 48 Explained

F.Glencoesoftware 118 views
Trigonometry Identities: I4 Cos 12 Cos 48 Explained

Trigonometry Identities: i4 cos 12 cos 48 Explained

Hey math whizzes and trigonometry enthusiasts! Today, we’re diving deep into a fascinating problem that might look a little intimidating at first glance: i⁴ cos 12° cos 48° . Now, I know what some of you might be thinking, “What’s with the ‘i’ and the degrees?” Don’t sweat it, guys! We’re going to break this down step-by-step, making it super clear and, dare I say, even fun . This isn’t just about solving a single equation; it’s about understanding the power of trigonometric identities and how they can simplify complex expressions. So, grab your calculators (or just your brilliant minds) and let’s get cracking on unraveling the mystery of i⁴ cos 12° cos 48° . We’ll explore the fundamental properties of imaginary numbers and delve into some handy trigonometric product-to-sum formulas that will make this problem a breeze. Get ready to flex those math muscles because by the end of this, you’ll have a solid grasp on how to tackle similar problems and impress your friends with your newfound trigonometry prowess. We’re going to start by dissecting the i⁴ part, then move on to the trigonometric components, and finally bring it all together for a satisfying solution. Stick around, because this is going to be good!

Unpacking the Imaginary Unit: i⁴

Alright, let’s kick things off with the first piece of our puzzle: i⁴ . For those who might be a bit rusty on their complex numbers, i is the imaginary unit, defined as the square root of -1. It’s the cornerstone of complex numbers and has some pretty neat properties. When we’re dealing with powers of i , there’s a cyclical pattern that makes things incredibly simple. Remember this sequence: i¹ = i , i² = -1 , i³ = -i , and i⁴ = 1 . After i⁴ , the pattern repeats! So, i⁵ is the same as , i⁶ is the same as , and so on. This cyclic nature is a lifesaver in simplifying higher powers of i . In our problem, we have i⁴ , which, as we just established, is equal to 1 . Yes, it’s that straightforward! So, the entire expression i⁴ cos 12° cos 48° simplifies significantly right from the get-go, as we can replace i⁴ with 1 . This transforms our problem into 1 * cos 12° cos 48° , or simply cos 12° cos 48° . See? Already less intimidating, right? Understanding these basic properties of imaginary numbers is crucial, not just for this specific problem, but for a vast array of mathematical and scientific applications. The elegance of i lies in its ability to extend the number system, allowing us to solve equations that were previously unsolvable. The cycle of powers of i (i, -1, -i, 1) is a fundamental concept that pops up time and time again, so it’s well worth memorizing. It’s like a secret code that unlocks simpler forms of complex expressions. So, when you see i raised to a power, always think about that cycle! For i⁴ , it’s our good friend 1 , which makes our trigonometric journey ahead much smoother. This initial simplification is a classic example of how breaking down a problem into smaller, manageable parts can lead to significant progress. We’ve already conquered the imaginary part, leaving us with the trigonometric core to explore. Let’s keep this momentum going!

Tackling the Trigonometric Core: cos 12° cos 48°

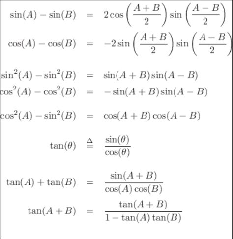
Now that we’ve simplified i⁴ to 1 , we’re left with the task of evaluating cos 12° cos 48° . This is where our trusty trigonometric identities come into play, specifically the product-to-sum formulas . These formulas are incredibly useful for converting products of trigonometric functions into sums or differences, which are often easier to work with. The relevant product-to-sum formula here is:

cos A cos B = ½ [cos(A - B) + cos(A + B)]

In our case, let A = 48° and B = 12°. (We can swap them, but this way keeps the subtraction positive, which is a little tidier, but either works!). Plugging these values into the formula, we get:

cos 12° cos 48° = ½ [cos(48° - 12°) + cos(48° + 12°)]

Let’s do the math inside the parentheses:

  • 48° - 12° = 36°
  • 48° + 12° = 60°

So, the expression becomes:

cos 12° cos 48° = ½ [cos 36° + cos 60°]

We’re getting closer, folks! We know the value of cos 60° off the top of our heads – it’s ½ . So now we have:

cos 12° cos 48° = ½ [cos 36° + ½]

The only piece of the puzzle remaining is cos 36° . This is a value that might not be as immediately recognizable as cos 60° , but it’s a well-known value in trigonometry, often derived using geometric properties or complex exponential forms. The exact value of cos 36° is (√5 + 1) / 4 . Now, let’s substitute this back into our equation:

cos 12° cos 48° = ½ [(√5 + 1) / 4 + ½]

To simplify further, let’s find a common denominator inside the brackets:

cos 12° cos 48° = ½ [(√5 + 1) / 4 + 2 / 4]

cos 12° cos 48° = ½ [(√5 + 1 + 2) / 4]

cos 12° cos 48° = ½ [(√5 + 3) / 4]

And finally, multiply by the ½ outside the bracket:

cos 12° cos 48° = (√5 + 3) / 8

See how the product-to-sum formula worked its magic? It transformed a product of two cosines into a sum involving known or more easily calculable values. The key takeaway here is the power of these identities. They aren’t just abstract rules; they are practical tools that simplify complex expressions. Mastering these formulas can unlock your ability to solve a wide range of trigonometric problems that would otherwise be quite challenging. The value of cos 36° is a bit of a gem, often encountered in problems involving the golden ratio. Its derivation is a whole other fascinating mathematical journey, but knowing it is incredibly useful for problems like this. We’ve successfully navigated the trigonometric core, and the end is in sight!

The Grand Finale: Bringing It All Together

We’ve successfully broken down the problem i⁴ cos 12° cos 48° into two manageable parts. First, we tackled i⁴ , which we found to be a simple 1 . Then, we dived into the trigonometric product cos 12° cos 48° , employing the product-to-sum identity. This led us to the expression ½ [cos 36° + cos 60°] . We substituted the known values of cos 60° = ½ and the special value of cos 36° = (√5 + 1) / 4 . After some careful algebraic manipulation, we arrived at the simplified trigonometric part: (√5 + 3) / 8 .

Now, it’s time for the grand finale – putting it all back together! Remember, our original expression was i⁴ * cos 12° cos 48° . We found that:

  • i⁴ = 1
  • cos 12° cos 48° = (√5 + 3) / 8

Therefore, the final solution is:

1 * (√5 + 3) / 8 = (√5 + 3) / 8

And there you have it, guys! The value of i⁴ cos 12° cos 48° is (√5 + 3) / 8 . It’s a beautiful result, showcasing how combining concepts from complex numbers and trigonometry can lead to elegant solutions. This problem wasn’t just about memorizing formulas; it was about understanding the underlying principles and applying them strategically. We saw how the cyclical nature of powers of i simplifies complex numbers, and how product-to-sum identities transform products of trigonometric functions into more manageable sums. The specific value of cos 36° adds a touch of classical geometry and number theory to the mix. It’s problems like these that highlight the interconnectedness of different mathematical fields. When you’re faced with a complex expression, remember the strategies we used today: break it down, simplify each part using relevant rules and identities, and then combine the results. This methodical approach is key to tackling any challenging mathematical problem. So next time you see a similar expression, you’ll know exactly what to do. Keep practicing, keep exploring, and you’ll become a trigonometry master in no time! This journey through i⁴ cos 12° cos 48° should give you a solid foundation for approaching similar problems in the future. Keep that curiosity alive, and happy solving!

Key Takeaways and Further Exploration

So, what did we learn from our adventure with i⁴ cos 12° cos 48° , guys? We learned that complex expressions can often be simplified by breaking them down into their core components. We saw the power of i⁴ = 1 in making problems much easier. We also witnessed the utility of trigonometric product-to-sum formulas , specifically cos A cos B = ½ [cos(A - B) + cos(A + B)] , in transforming products into sums. Furthermore, we utilized the specific, and rather special, value of cos 36° = (√5 + 1) / 4 . Combining these pieces led us to the final answer: (√5 + 3) / 8 .

This problem is a fantastic example of how different areas of mathematics intertwine. It’s not just about isolated formulas; it’s about understanding how they connect and complement each other. The beauty of mathematics lies in this interconnectedness.

For Further Exploration:

  1. Derivation of cos 36°: If you’re curious, dive into the geometric proof for the value of cos 36°. It often involves constructing an isosceles triangle with specific angles related to the golden ratio. It’s a classic piece of mathematical elegance!
  2. Other Product-to-Sum Formulas: Explore the other product-to-sum and sum-to-product identities. They are incredibly versatile tools for simplifying trigonometric expressions.
  3. Complex Number Powers: Practice simplifying higher powers of i . Try i¹⁰ , i²³ , or even i¹⁰⁰ ! Remember the cycle: i, -1, -i, 1 .
  4. Similar Trigonometric Problems: Look for other problems involving products of cosines or sines with specific angles. Applying the product-to-sum formulas will be your go-to strategy.

Keep practicing these concepts, and you’ll find yourself becoming more and more comfortable with advanced trigonometry and complex numbers. Math is a journey of continuous learning, and every problem solved opens the door to new understanding. So keep those brains buzzing and enjoy the process of discovery!